
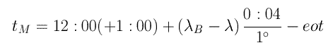
| date | eot |
|---|---|
| April, 19 th | 0:01:13 |
| April, 20th | 0:01:26 |
| April, 21th | 0:01:38 |
| April, 22th | 0:01:50 |
| April, 23th | 0:02:01 |
| April, 24th | 0:02:12 |
| April, 25th | 0:02:22 |
| April, 26th | 0:02:32 |
t0-60min, t0-45min, t0-30min, t0-15min, t0-10min, t0-5min, t0, t0+5min, t0+10min,t0+15min, t0+30min, t0+45min, t0+60min.
Your sheet should then view similar to the following picture:

This value of RE gives you an impression of the precision of the measured positions.

back to the project page
1 To be truly we must emphasize that the evaluation normally becomes circular at this point: We want to measure the earth's radius but we use it by calculating the distance between the observers from their geographical positions! The only way of breaching this circle would be to measure the needed distance by oneself: by bike, by car, ... Perhaps some measures of quite near observers will be exact enough to evaluate their results, to measure their distance and to get a satisfying - and circle-free! - value of the earth's radius.
Udo Backhaus